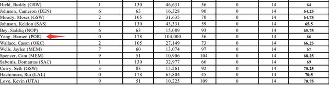
北京时间1月20日,北京时间1月20日,NBA官方公布了2026年全明星赛的首发阵容。西部首发是亚历山大、约基奇、东契奇、文班亚马和库里,东部首发是字母哥、坎宁安、布伦森、马克西和杰伦-布朗。随后,NBA官方公布了具体票数。东契奇得到3402967票,成为票王。杨瀚森得到104000票,在球迷投票部分,排名联盟第36位。


杨瀚森的媒体票和球员票均为零,2026年NBA全明星赛首发球员由球迷、现役NBA球员以及媒体评审团共同选出。球迷投票占首发人选评选权重的50%,球员与媒体投票各占25%。所有投票统计完毕后,球员将按照投票群体划分,在东西部两个联盟内分别进行排名。每位球员的最终得分,由其在球迷投票、球员投票和媒体投票中的加权排名取平均值计算得出。
球员得分的权重分配为球迷投票占50%、球员投票占25%、媒体投票占25%,具体计算公式为:(球迷排名×2+球员排名+媒体排名)÷4
杨瀚森的加权得分是66(分越低排名越高,比如约基奇是1.75),在他后一位是雷霆的卡森-华莱士,在他前一位是鹈鹕的萨迪克-贝。
杨瀚森今日已经被开拓者下放到发展联盟,将继续为混音出战比赛。过去两场发展联盟比赛,杨瀚森场均18分12篮板,分别创得分新高(22)和篮板新高(17)。
下一篇 :返回列表
篮球资讯
篮球录像
篮球集锦
- 2026年01月25日 辽宁末节仅4分负新疆遭四连败 赵继伟缺阵 王岚嵚9中1 吴冠希18+8
- 2026年01月25日 深圳23分大胜同曦迎来4连胜!史密斯25+8+7 郭昊文24+6+5
- 2026年01月25日 领先30分到赢6分 山东终结广厦7连胜 陈林坚18分 孙铭徽12中2
- 2026年01月25日 广州险胜青岛 郭艾伦18分钟19分 徐昕13+10 米奇28+13
- 2026年01月25日 江苏险胜宁波 庞峥麟27分 吴羽佳补篮准绝杀 杰克逊28分
- 2026年01月25日 福建送四川19连败 邹阳23分 曾凌铉18分 布里斯科24分
- 2026年01月25日 01月25日WCBA常规赛 上海女篮82-105四川女篮 全场集锦
- 2026年01月25日 01月25日NBL常规赛 合肥狂风76-79山东蜜獾 全场集锦
标签列表
- cctv5+直播在线观看中央电视台
- 现场开奖直播开奖结果
- cctv5+正在直播女排
- 亚冠免费直播
- 南安普顿vs曼联免费直播
- nba回放高清录像
- 欧冠回放
- 500万比分直播
- nba雨燕直播免费高清在线
- 90比分滚球版
- b站刺激战场免费直播
- 中央五套节目表直播
- 世界拳王争霸赛2024年最新比赛直播
- 斯诺克直播中央5现场直播
- ccty5直播
- 就要直播_网络电视直播nba
- 篮球cba直播在线观看
- 3d开奖直播在线观看
- cctv-1直播在线观看
- nba直播火箭
- 乐视直播
- 央视网13频道高清直播
- f1直播五星体育
- cctv5+现场直播
- 中央新闻13频道直播
- cba专区
- 山东新闻频道在线直播
- 国际乒联最新排名公布
- 今天nba直播
- 【jrs直播吧】nba直播
- 网球赛事直播频道直播
- cba篮球赛事直播
- 山东泰山队亚冠直播
- 今晚有辽篮比赛吗
- cctv5中央电视台直播
- 湖人回放
- 广东宏远今天晚上直播
- nba今天比赛赛程
- 咪咕正在直播的乒乓球比赛手机看
- 斯诺克虎牙直播在线观看免费
- 广东体育直播在线观看高清直播
- 美女直播免费观看
- cctv5体育频道直播
- 西班牙超级杯直播
- 直播cctv5
- 中央5今晚球赛直播
- 湖人比赛直播
- 男足直播
- wtt澳门直播在线观看
- 雅虎直播
- 湖南台直播
- 央视一套在线直播观看
- cctv5今日现场直播
- cctv13在线直播观看中央高清
- gg直播
- 2023年nba选秀
- cctv5男篮直播
- 中央13套直播
- 中央电视台5套直播
- 美职篮今日赛事
- 中央5体育频道高清直播
- 广东男篮今晚直播视频
- cctv5乒乓球直播
- 凤凰卫视中文台高清
- 排三开奖视频直播现场今天
- 极速体育吧
- 乒乓球今天直播时间表
- nba火箭直播
- 直播吧cctv5
- 阿根廷世预赛直播
- 广东影视在线直播电视节目
- 好球直播nba
- cctv1直播在线观看
- 黑白体育nba直播
- 福彩3d开奖直播
- 苹果直播网站
- 极速nba免费直播
- nba搜狐体育手机搜狐体育
- 纬来体育手机无插件
- 今晚女排决赛直播
- cba最新赛程表
- 中央5直播在线观看高清直播
- 湖人vs热火
- 河南广播电视台直播入口
- 中央电视一台综合台直播
- 湖南卫视在线直播电视台
- 今日14场胜负推荐预测表
- 大赢家足球即时比分90分钟电脑版
- 尼克斯直播
- 亚洲杯今晚中国队直播
- 中央十三套电视台直播在线观看
- cba上海队今晚比赛直播
- 电视直播网站
- 看雨直播
- 大赢家足球即时比分中
- f1直播
- up直播
- 斯诺克虎牙4
- spb01即时比分手机
- cctv中央一台直播








